- 태양광 충전 휴대폰케이스
- 태양광
- opencv-python
- Video
- Motion Estimation
- odyssey x86J4105
- pcb
- SIOR-TITAN
- 태양전지
- 아두이노
- 오디세이 x86
- Canny
- 모션제어
- opencv
- artwork
- JLCPCB
- 체험지수
- 태양광 충전케이스
- RQ-TITAN
- 윈도우10
- Arduino
- 태양광 휴대폰케이스
- UART
- PCB Artwork
- Imitating Arm
- pcb 설계
- EasyEDA
- Python
- 태양 충전 케이스
- motion recognition
- Today
- Total
제너럴공국
[전자회로2] CH.9 주파수 응답 - 공식정리 본문
MOSFET과 BJT를 이용한 증폭기는 아래와 같이 주파수 응답을 가진다.
f_L은 Coupling과 Bypass Cap에 의해 발생한다. short circuit time constant method를 이용한다.
f_H는 BJT와 MOSFET의 internal Cap에 의해 발생한다. open circuit time constant method를 이용한다.

9.1 CS amp의 f_L


9.1 short circuit time constant methods 와 CE AMP


CE AMP에서 CE에 의한 시정수를 구할때, 입력저항도 고려되는 것을 잊어서는 안된다. B단자와 E단자의 전류랑이 beta+1만큼 차이나므로, 입력저항을 (beta+1)만큼 나누어서 구해준다고 기억할 것
9.2 high cut off frequency of MOSFET and BJT


f_T는 transition frequency로 증폭기의 성능을 결정짓는 요소이다. 크면 클 수록 좋다. 이득이 1 즉 0dB가 되는 지점의 주파수 값이다.
9.3 CS & CE AMP - miller 이용
이제 실제 CS & CE AMP에서 f_H를 구해본다.




CE는 다 똑같은데 Rsig`이 좀 신경쓰일 수 있음 이때, 직렬 r_x의 존재여부를 잊으면 안됨.
A_M 도 구할 때, base단 전압 분배 고려해줘야함.
9.3.3 Miller Theorem

k는 음수가 될 수 있다.
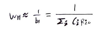
9.4 open circuit time constant(octc)

무엇보다 이 식이 가장 중요함.
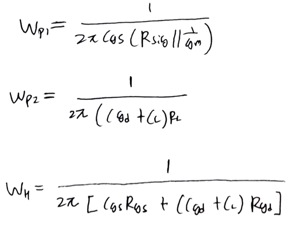
9.4.4. CS AMP에의 적용 - octc
R_gd는 어쩔 수 없음. 외우든지 그때 그때 유도하던지.

9.5 High frequency response of CG amp


여기서 C_gd와 C_L은 병렬로 해석될 수 있음에 주목한다.
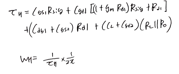
9.5.2 MOS cascode AMP


여기서 C_db1은 왜 있는 걸까?
'전자전기공학 > 전자전기이론' 카테고리의 다른 글
| CMOS의 스위칭 동작 (1) | 2020.12.30 |
|---|---|
| [안테나공학] 한 학기 수업내용 총 정리 (1) | 2020.12.15 |
| [전기자기학2] Maxwell`s Equation (1) | 2020.12.13 |
| [전자회로2] CH.10 Feedback - 공식정리 (1) | 2020.12.12 |
| [전기자기학1] 1. 벡터 미적분 (1) | 2020.10.18 |