Tags
- PCB Artwork
- odyssey x86J4105
- UART
- 모션제어
- Motion Estimation
- pcb
- Imitating Arm
- 태양전지
- opencv
- Canny
- pcb 설계
- 태양광 충전케이스
- 오디세이 x86
- SIOR-TITAN
- Video
- Python
- JLCPCB
- Arduino
- 태양광 휴대폰케이스
- 태양광
- 태양 충전 케이스
- EasyEDA
- motion recognition
- 윈도우10
- RQ-TITAN
- opencv-python
- artwork
- 아두이노
- 태양광 충전 휴대폰케이스
- 체험지수
Archives
- Today
- Total
제너럴공국
[전자회로2] CH.10 Feedback - 공식정리 본문
반응형
FeedBack은 부귀환과 정귀환으로 나누어진다. 부귀환은 이득의 감소를 대가로 다음과 같은 효과를 얻기 위해 사용된다.
- 이득의 민감도를 줄인다 : 이득값이 변동에 강해진다.
- 비선형 왜곡을 줄인다 : 출력이 입력에 비례하는 특성이 강해진다.
- 잡음의 영향을 줄인다 : 외부 간섭을 줄인다.
- 입력 및 출력 저항을 제어한다 : $R_{in}$ 과 $R_{out}$을 피드백으로 조정할 수 있다.
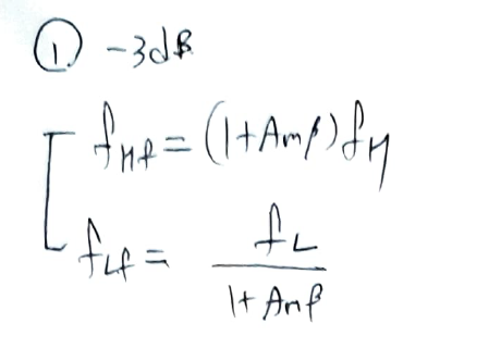
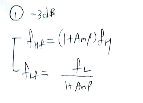
- 증폭기의 대역폭을 늘린다 : $ W_{hf} = W_h(1 + A_m * \beta) $
10.1 일반적인 귀환 구조


개방회로이득과 단락회로이득을 헷갈리지 말 것.
10.2 Negative Feedback의 특성


10.3 close loop gain의 측정법

10.4 systematic Analysis of Feedback voltage amp


A 회로만 따로 뜯어내서 A를 구함. 이때 피드백 회로가 A회로 안에 들어감. 이 부분은 추후에 추가할 예정.
10.5 다른 귀환 증폭기의 유형


4가지 종류가 존재 이때, 오른쪽 표와 같은 공통점을 가짐.
반응형
'전자전기공학 > 전자전기이론' 카테고리의 다른 글
| CMOS의 스위칭 동작 (1) | 2020.12.30 |
|---|---|
| [안테나공학] 한 학기 수업내용 총 정리 (1) | 2020.12.15 |
| [전기자기학2] Maxwell`s Equation (1) | 2020.12.13 |
| [전자회로2] CH.9 주파수 응답 - 공식정리 (1) | 2020.12.11 |
| [전기자기학1] 1. 벡터 미적분 (1) | 2020.10.18 |
Comments