Tags
- 윈도우10
- Motion Estimation
- 태양광
- JLCPCB
- RQ-TITAN
- 체험지수
- 오디세이 x86
- 태양 충전 케이스
- opencv-python
- Imitating Arm
- 아두이노
- 태양광 충전케이스
- UART
- 태양광 충전 휴대폰케이스
- pcb
- 모션제어
- Canny
- pcb 설계
- 태양전지
- Python
- Arduino
- PCB Artwork
- SIOR-TITAN
- 태양광 휴대폰케이스
- artwork
- EasyEDA
- odyssey x86J4105
- motion recognition
- opencv
- Video
Archives
- Today
- Total
제너럴공국
[안테나공학] 한 학기 수업내용 총 정리 본문
반응형
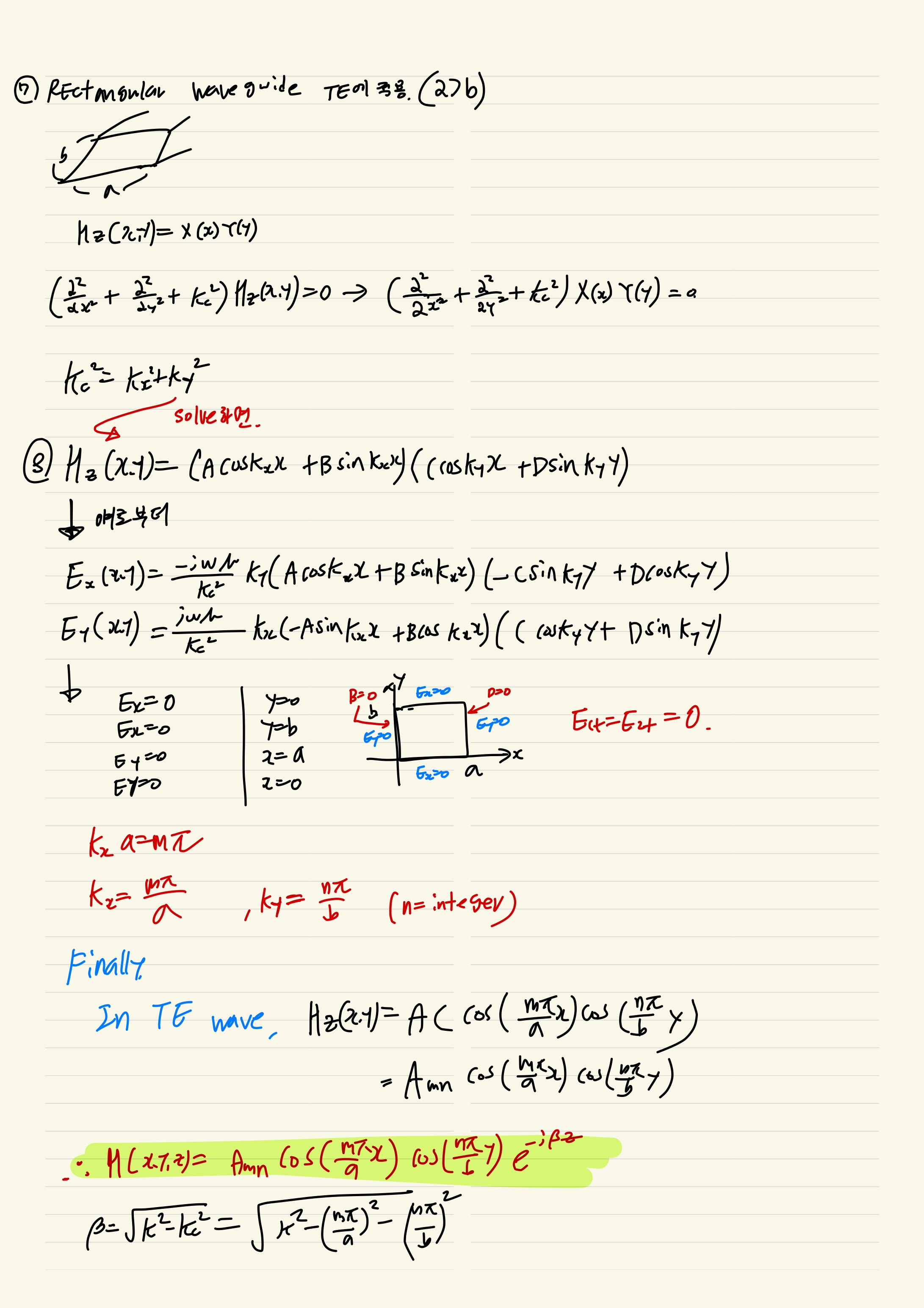
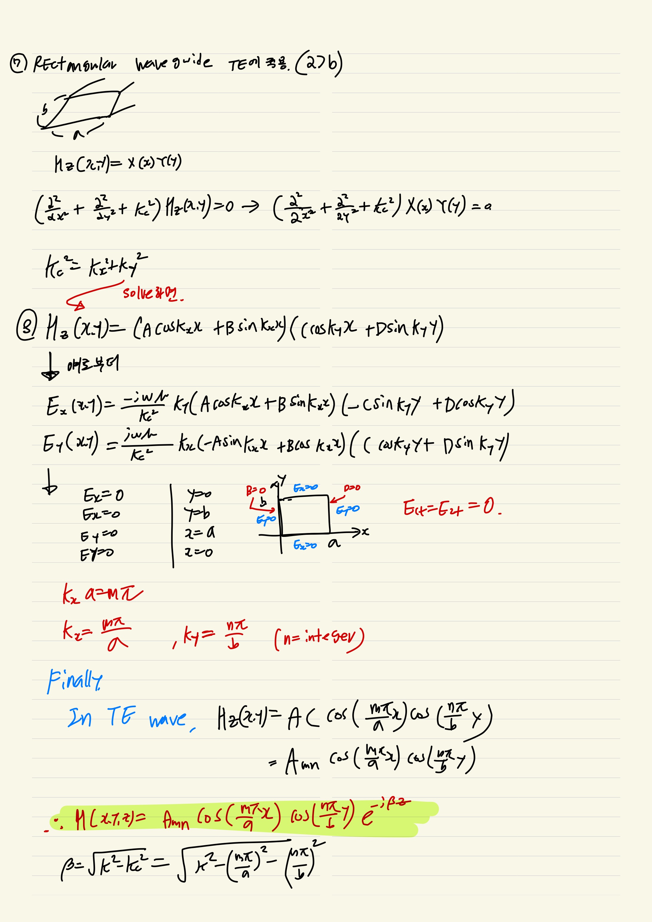
Chapter2. Waveguide Theory - 도파관 이론
1. wave number : $ k = w\sqrt{\mu \epsilon} = \frac{w}{c} = \frac{2\pi}{\lambda} $
2. propagation constant : $ \gamma = jk = \alpha + j\beta $
3. phase velocity : $ v_{p} = \frac{w}{k} = \lambda f $



Chapter3. Theory of transmission lines
1. Reflection Coefficient : $ \Gamma = \frac{z_{L} - z_{O}}{z_{L}+z_{O}} $
2. $ z(z) = z_{0} \frac{z_{L}-z_{O}tanh(\gamma z)}{z_{O}-z_{L}tanh(\gamma z)} $

Chapter 4. Radiation Equation

chapter5. Antenna parameters



반응형
'전자전기공학 > 전자전기이론' 카테고리의 다른 글
| 논리 회로의 기술 매핑(Technology mapping) (1) | 2020.12.30 |
|---|---|
| CMOS의 스위칭 동작 (1) | 2020.12.30 |
| [전기자기학2] Maxwell`s Equation (1) | 2020.12.13 |
| [전자회로2] CH.10 Feedback - 공식정리 (1) | 2020.12.12 |
| [전자회로2] CH.9 주파수 응답 - 공식정리 (1) | 2020.12.11 |
Comments